one line of code at a time
[leetcode] 143. Reorder List 파이썬 코드 본문
https://leetcode.com/problems/reorder-list/
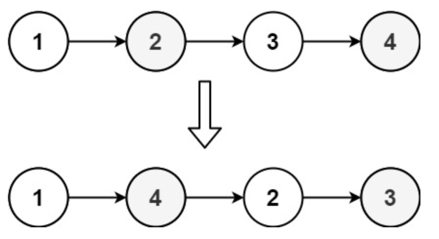
연결리스트를 이런 순서로 reorder 해야 한다.


연결리스트를 반으로 나눴을 때 첫 번째 파트는 그대로 방향을 유지하면 된다.
그런데 두 번째 파트는 맨 마지막에 포인터를 두고 끝에서 앞쪽으로, 즉 reverse 시킬 수 있다.
그렇게 alternating 시키면서 두 연결리스트를 merge 시키면 된다.
그런데 중간 지점을 어떻게 찾을 것인가?
slow pointer와 fast pointer를 사용하면 된다.
그 다음에 새로운 연결 리스트를 만들지 않고, 원래 연결 리스트를 사용해서 만들 수 있다.
그러면 공간 복잡도는 O(1)이 된다.
이 때 가장 첫 번째 노드에서 1st 포인터가 시작되고, 가장 끝 노드에서 2nd 포인터가 시작된다.
그런데 reorder 해줘야 하니까 1st 포인터나 2nd 포인터 링크가 break 되는데
1st 포인터의 next 값이 필요하므로 break 하기 전에 미리 temp 로 그 연결을 저장해야 한다.
그리고 마지막 노드는 Null을 가리키게 한다.
class Solution(object):
def reorderList(self, head):
slow, fast = head, head.next
while fast and fast.next:
slow = slow.next # shift by 1
fast = fast.next.next # shift by 2
second = slow.next
slow.next = None # split the linkedlist into half
# reverse the second half of the list
prev = None
while second:
nxt = second.next
second.next = prev
prev = second
second = nxt
# merge two halfs
first, second = head, prev
while second:
temp1, temp2 = first.next, second.next
first.next = second
second.next = temp1
first, second = temp1, temp2

참고
'leetcode' 카테고리의 다른 글
| [leetcode] 665. Non-decreasing Array 파이썬 코드 (1) | 2024.09.27 |
|---|---|
| [leetcode] 538. Convert BST to Greater Tree / 1038. Binary Search Tree to Greater Sum Tree 파이썬 코드 (1) | 2024.09.26 |
| [leetcode] 386. Lexicographical Numbers 파이썬 코드 (0) | 2024.09.25 |
| [leetcode] 3043. Find the Length of the Longest Common Prefix 파이썬 코드 (0) | 2024.09.25 |
| [leetcode] 141. Linked List Cycle 파이썬 코드 (0) | 2024.09.25 |